Презентация, доклад на тему Дидактическая игра по математике на тему Уравнения

Математическая абакаАба́к (доска) — многозначный термин.-Стол на трёх ножках у римлян. На него во время обеда или просто напоказ выставлялась золотая и серебряная посуда. -Доски, на которых во времена античности играли камешками или костями[1].-Во времена античности, так

Слайд 1.

Чтобы выигрывать,
нужно прежде всего играть.
А.Энштейн

Единственный способ стать умнее-
играть с более умным противником.

.

Слайд 2Математическая абака
Аба́к (доска) — многозначный термин.

-Стол на трёх ножках у римлян. На

него во время обеда или просто напоказ выставлялась золотая и серебряная посуда.

-Доски, на которых во времена античности играли камешками или костями[1].

-Во времена античности, так называемые «пифагоровы столы» для математических вычислений и чертежей, посыпавшиеся песком или мукой[1].

-В архитектуре абака -это верхняя плита колонны, обычно четырёхсторонняя.

-Счётная доска[1].
Математическая абакаАба́к (доска) — многозначный термин.-Стол на трёх ножках у римлян. На него во время обеда или просто

Слайд 3
Правила
Математическая абака — это командная игра-соревнование по решению задач. Все задачи

выдаются для решения всем командам одновременно. Основным зачётным показателем в математической абаке является общее количество набранных очков (включая бонусы).
ПравилаМатематическая абака — это командная игра-соревнование по решению задач. Все задачи выдаются для решения всем командам одновременно.

Слайд 4.
Решение задач
Каждой команде предлагается для решения 3 темы по 6 задач

в каждой теме.

Задачи каждой темы сдаются по порядку, от 1-й до 6-й.

На каждую задачу дается одна попытка сдать ответ.

Если команда предъявляет правильный ответ на задачу, она получает за это цену задачи, а если ответ неправильный или неполный, команда получает 0 очков.
.Решение задачКаждой команде предлагается для решения 3 темы по 6 задач в каждой теме. Задачи каждой темы

Слайд 5.
Бонусы
Каждая команда дополнительно может заработать бонусы:
Бонус-горизонталь (за правильное решение всех задач

одной темы) — 5 очков.
Бонус-вертикаль (за правильное решение задач с одним и тем же номером по всем темам) — цена задачи с этим номером.
Бонусы за первое решение: первая команда, получившая одну из шести возможных бонус-горизонталей или одну из шести бонус-вертикалей, получает соответствующий бонус в двойном размере.

Окончание игры
На решение задач отводится 45 минут. Команда заканчивает игру, если у нее кончились задачи или истекло общее время, отведенное для игры.
.БонусыКаждая команда дополнительно может заработать бонусы:Бонус-горизонталь (за правильное решение всех задач одной темы) — 5 очков.Бонус-вертикаль (за

Слайд 6Проверим настрой на игру!
«Перевертыши»

Проверим настрой на игру!«Перевертыши»

Слайд 7Конкурс-игра заключается в том, что слова какой - нибудь известной фразы,

например, пословицы, заменяются антонимами. Выигрывает тот, кто первым разгадает настоящую фразу. Например, «зайцев пугать – с опушки бежать». Какая пословица зашифрована? Ответ: «Волков бояться – в лес не ходить»

Умножать на 1 можно!

Делить на 0 нельзя!

Неправильное целое больше 0.

Правильная дробь меньше 1

Кривая дуга больше свернутой

Прямой угол меньше развернутого

Конкурс-игра заключается в том, что слова какой - нибудь известной фразы, например, пословицы, заменяются антонимами. Выигрывает тот,

Слайд 8Перпендикулярные отрезки скрещиваются
Параллельные прямые не пересекаются
Периметр треугольника не равен

кубу чужого угла

Площадь квадрата равна квадрату его стороны



Перпендикулярные отрезки скрещиваются Параллельные прямые не пересекаются Периметр треугольника не равен кубу чужого углаПлощадь квадрата равна квадрату

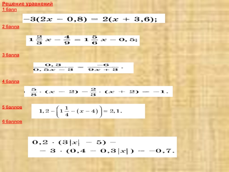
Слайд 9


Решение уравнений
1 балл

2 балла

3 балла

4 балла

5 баллов

6 баллов


Слайд 10

Упрощение выражений
1 балл

2 балла

3 балла

4 балла

5 баллов

6 баллов


Слайд 11

Задачи
1 балл


2 балла

3 балла



Слайд 124 балла

5 баллов

6 баллов


4 балла5 баллов6 баллов

Слайд 13Ответы:

Ответы:

Что такое shareslide.ru?

Это сайт презентаций, где можно хранить и обмениваться своими презентациями, докладами, проектами, шаблонами в формате PowerPoint с другими пользователями. Мы помогаем школьникам, студентам, учителям, преподавателям хранить и обмениваться учебными материалами.


Для правообладателей

Яндекс.Метрика

Обратная связь

Email: Нажмите что бы посмотреть