Презентация, доклад на тему Анықталмаған интегралдағы негізгі интегралдау әдістері

Содержание

АЙНЫМАЛЫНЫ АЛМАСТЫРУ ӘДІСІ

Слайд 1




Сабақтың тақырыбы:

Анықталмаған
интегралдағы негізгі интегралдау әдістері

.

Сабақтың

Слайд 2




АЙНЫМАЛЫНЫ

АЛМАСТЫРУ


ӘДІСІ


Слайд 3


1. Білімділік:
Анықталмаған интегралдың кестесі,интегралдау әдістері және қасиеттерін қолданып,анықталмаған интегралды

интегралдаудағы теориялық білімдерін пысықтау
Осы теориялық білімді студенттердің есептер шығаруда қолдана білуін қалыптастыру

Мақсаты:

1. Білімділік:Анықталмаған интегралдың кестесі,интегралдау әдістері және қасиеттерін қолданып,анықталмаған интегралды интегралдаудағы теориялық білімдерін пысықтауОсы теориялық білімді

Слайд 4 2.Дамыту:

Анықталмаған интеграл тарауы бойынша студенттердің оқып-үйренгендерін толық меңгеріп, оны

есептеу жұмыстарында қолдана білуіне бағыт-бағдар беру.


Тез есептеу,дәл шығару және оңай, тиімді тәсілдерді қолдана білуге дағдыландыру.
2.Дамыту:Анықталмаған интеграл тарауы бойынша студенттердің оқып-үйренгендерін толық меңгеріп, оны есептеу жұмыстарында қолдана білуіне бағыт-бағдар беру.Тез

Слайд 5 3. Тәрбиелілік:


Студенттердің пәнге деген қызығушылығын,ынтасын арттыру.


Ғылыми негізге ойлауын, өз

пікірін дәлелдей білуге және жүйелеп қорыта білуге тәрбиелеу.
3. Тәрбиелілік:Студенттердің пәнге деген қызығушылығын,ынтасын арттыру.Ғылыми негізге ойлауын, өз пікірін дәлелдей білуге және жүйелеп қорыта

Слайд 6



Бекіту сабағы


Сабақтың түрі:

Бекіту сабағы  Сабақтың түрі:

Слайд 7
Сабақты өткізу барысында қолданылатын стратегиялар:
Ассоциация
Деңгейлік жүйе
Топпен жұмыс
Кластер

Сабақты өткізу барысында қолданылатын стратегиялар:АссоциацияДеңгейлік жүйеТоппен жұмысКластер

Слайд 8

Сабақтың көрнекілігі:

Топтық тапсырмалар карточкасы
Схема

Сабақтың көрнекілігі:Топтық тапсырмалар карточкасыСхема

Слайд 9Сабақтың өту барысы:
1.Ұйымдастыру
2.Үй тапсырмасын тексеру
3.Тарау бойынша студенттердің алған білімдерін бекіту үшін

ассоциация стратегиясын қолданып,сұрақ қою:
-”Интеграл” дегенде ойларыңа не түседі?

Сабақтың өту барысы:1.Ұйымдастыру2.Үй тапсырмасын тексеру3.Тарау бойынша студенттердің алған білімдерін бекіту үшін ассоциация стратегиясын қолданып,сұрақ қою:-”Интеграл” дегенде ойларыңа

Слайд 10Студенттердің жауаптары:
1 ) Алғашқы функция
2) Анықталмаған интеграл
3) Интегралдау

кестесі
4) Қасиеттері
5) Интегралдау әдістері
Студенттердің жауаптары:1 ) Алғашқы функция   2) Анықталмаған интеграл3) Интегралдау кестесі   4) Қасиеттері5) Интегралдау

Слайд 11


4.Студенттердің теориялық білімдерін бекіту мақсатында практикалық жұмыстар жүргізу. Айнымалыны алмастыру әдісінің

әртүрлі жағдайларына есептер шығару
4.Студенттердің теориялық білімдерін бекіту мақсатында практикалық жұмыстар жүргізу. Айнымалыны алмастыру әдісінің әртүрлі жағдайларына есептер шығару

Слайд 12Қасиеттері:
1.
2.
3.
4.  
мұндағы u, v, w –х-тен

тәуелді функциялар
6.     

Қасиеттері:1. 2. 3. 4.    мұндағы u, v, w –х-тен тәуелді функциялар6.     

Слайд 13
Анықталмаған интегралды интегралдаудың негізгі әдістері:

Тікелей интегралдау

Айнымалыны алмастыру

Бөліктеп интегралдау

Анықталмаған интегралды интегралдаудың негізгі әдістері:Тікелей интегралдауАйнымалыны алмастыруБөліктеп интегралдау

Слайд 14Егер берілген интеграл кестеге келмесе және тікелей

интегралданбаса, онда интеграл астында айнымалыны алмастыру әдісі қолданылады. Бұл әдіс күрделі функцияның туындысына негізделген.
Айнымалыны алмастырудың негізгі мақсаты-интеграл астындағы өрнекті неғұрлым қарапайым түрге келтіру
Егер берілген     интеграл кестеге келмесе және тікелей интегралданбаса, онда интеграл астында айнымалыны алмастыру

Слайд 15
интегралын ықшамдау үшін жаңа t

айнымалысын енгізеді.
Сонымен,


=
(1) формула анықталмаған интегралда айнымалыны алмастыру болып табылады.
интегралын ықшамдау үшін жаңа t айнымалысын енгізеді.Сонымен,

Слайд 16
№1361 (Данко П.Е.)



№1764


№1361 (Данко П.Е.)  №1764

Слайд 17№1361 (Данко П.Е.)











№1764

№1361 (Данко П.Е.)№1764

Слайд 18
№1364 (Данко П.Е.)



№1365 (Данко П.Е.)


№1364 (Данко П.Е.)   №1365 (Данко П.Е.)

Слайд 19№1364 (Данко П.Е.)
№1365 (Данко П.Е.)

№1364 (Данко П.Е.)№1365 (Данко П.Е.)

Слайд 20

№1769



№1377


№1769    №1377

Слайд 21№1769
№1377

№1769№1377

Слайд 22
Келтірілген есептерге ұқсас есептер:

№1376 (Данко П.Е.)



№1363



Келтірілген есептерге ұқсас есептер:  №1376 (Данко П.Е.)   №1363

Слайд 23Келтірілген есептерге ұқсас есептер:
№1376 (Данко П.Е.)
№1363

Келтірілген есептерге ұқсас есептер:№1376 (Данко П.Е.)№1363

Слайд 24
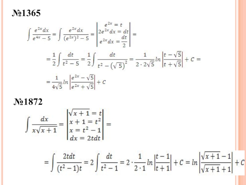
№1365



№1872


№1365     №1872

Слайд 25№1365
№1872

№1365№1872

Слайд 26

Топпен жұмыс


Студенттерді екі-екіден үш топқа бөліп, әр топқа тапсырмалар беру:

Топпен жұмысСтуденттерді екі-екіден үш топқа бөліп, әр топқа тапсырмалар беру:

Слайд 27І – ші топ үшін:

1.


2.




3.
І – ші топ үшін:   1.   2.    3.

Слайд 28
І – ші топ үшін:
1
2
3

І – ші топ үшін:123

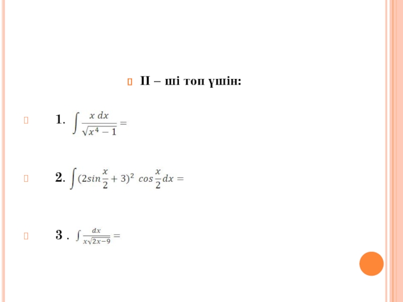
Слайд 29ІІ – ші топ үшін:

1.


2.


3 .
ІІ – ші топ үшін:   1.   2.   3 .

Слайд 30ІІ – ші топ үшін:
2
1
3

ІІ – ші топ үшін:213

Слайд 31ІІІ– ші топ үшін:

1.


2.




3.
ІІІ– ші топ үшін:   1.    2.    3.

Слайд 32ІІІ – ші топ үшін:
2
3
1

ІІІ – ші топ үшін:231

Слайд 33Үй тапсырмасы:

1
2
3
4

Үй тапсырмасы:1234

Слайд 34Сабақты кластер стратегиясын қолданып қорытындылау.
- Сонымен, анықталмаған интегралды интегралдау үшін біз

нені білуіміз керек?

Анықталмаған интегралды табу

Интегралдау кестесі

Тікелей
интегралдау

Интегралдың қасиеттері

Бөліктеп интегралдау

Айнымалыны алмастыру әдісі

Сабақты кластер стратегиясын қолданып қорытындылау.- Сонымен, анықталмаған интегралды интегралдау үшін біз нені білуіміз керек?Анықталмаған интегралды табуИнтегралдау кестесіТікелей

Что такое shareslide.ru?

Это сайт презентаций, где можно хранить и обмениваться своими презентациями, докладами, проектами, шаблонами в формате PowerPoint с другими пользователями. Мы помогаем школьникам, студентам, учителям, преподавателям хранить и обмениваться учебными материалами.


Для правообладателей

Яндекс.Метрика

Обратная связь

Email: Нажмите что бы посмотреть