Презентация, доклад на тему : Решение квадратных уравнений

Содержание

Цели работы:Формирование культуры труда, посредством выполнения грамотной и аккуратной записи уравнения. Развитие умения оценивать свою работу.Закрепление навыков применения формул при решении квадратных уравнений.Воспитание культуры общения в групповой работе.

Слайд 1МБОУ СОШ № 50 им.С.В. Марзоева Шаповалова Светлана Эдуардовна
Предмет: Алгебра
Класс: 8
Раздел:

«Квадратные уравнения»
Тема: «Решение квадратных уравнений»
МБОУ СОШ № 50 им.С.В. Марзоева Шаповалова Светлана ЭдуардовнаПредмет: АлгебраКласс: 8Раздел: «Квадратные уравнения»Тема: «Решение квадратных уравнений»

Слайд 2Цели работы:
Формирование культуры труда, посредством выполнения грамотной и аккуратной записи уравнения.

Развитие умения оценивать свою работу.
Закрепление навыков применения формул при решении квадратных уравнений.
Воспитание культуры общения в групповой работе.

Цели работы:Формирование культуры труда, посредством выполнения грамотной и аккуратной записи уравнения. Развитие умения оценивать свою работу.Закрепление навыков

Слайд 3Для учителя:
Довести до автоматизма умения применять формулы при решении квадратных уравнений.
Для

обучающихся:
Повторить формулы решения квадратных уравнений;
Квалифицировать виды квадратных уравнений и способы их решений.

Для учителя:Довести до автоматизма умения применять формулы при решении квадратных уравнений.Для обучающихся:Повторить формулы решения квадратных уравнений;Квалифицировать виды

Слайд 4Планируемый результат:
Умение решать квадратные уравнения двумя способами (через дискриминант и по

теореме Виета), применять полученные знания при решении квадратных неравенств, при построении квадратичных функций, в дальнейшем при изучении физики, химии и при сдаче ГИА и ЕГЭ.
Планируемый результат:Умение решать квадратные уравнения двумя способами (через дискриминант и по теореме Виета), применять полученные знания при

Слайд 5Тема: «Решение квадратных уравнений»
Продолжить предложение:
Квадратное уравнение это …
Полное квадратное уравнение …
Приведённое

квадратное уравнение …
Неполное квадратное уравнение…
Дискриминант …
Корни квадратного уравнения…
Теорема Виета …

Тема: «Решение квадратных уравнений»Продолжить предложение:Квадратное уравнение это …Полное квадратное уравнение …Приведённое квадратное уравнение …Неполное квадратное уравнение…Дискриминант …Корни

Слайд 6Какое уравнение «лишнее»
(1)
(2)
(3)
(4)

Какое уравнение «лишнее»(1)(2)(3)(4)

Слайд 7Какое уравнение «лишнее»
(1)
(2)
(3)
(4)

Какое уравнение «лишнее»(1)(2)(3)(4)

Слайд 8«Задачи на время»

«Задачи на время»

Слайд 9№3
Решение:
2х2-х-3=0
D = b2 - 4ac = 1- 4*2*(-3) = 25; D>0;

т.е. уравнение имеет 2 решения.
Х1,2=

Ответ: х1=1, х2= -1,5.
№6
Решение: 7х2-5х+6=0
D = b2- 4ac
D =25 - 4*7*6=25-168=-143; D<0; уравнение действительных корней не имеет.
Ответ: решений нет.
№3Решение:2х2-х-3=0D = b2 - 4ac = 1- 4*2*(-3) = 25; D>0; т.е. уравнение имеет 2 решения. Х1,2=

Слайд 10№8
Решение:
9х2-12х+4=0
D = b2-4ac
D =144 - 4*9*4=144-144=0; D =0, значит уравнение имеет

одно решение.
Х =

Ответ: х =

№8 Решение: 9х2-12х+4=0 D = b2-4ac D =144 - 4*9*4=144-144=0;   D =0, значит уравнение имеет

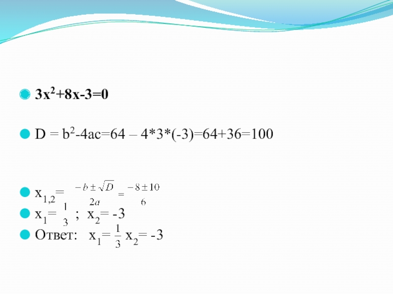
Слайд 113х2+8х-3=0
D = b2-4ac=64 – 4*3*(-3)=64+36=100
х1,2=
х1= ; х2= -3


Ответ: х1= х2= -3


3х2+8х-3=0 D = b2-4ac=64 – 4*3*(-3)=64+36=100  х1,2= х1=   ; х2= -3 Ответ:  х1=

Слайд 12Физкультминутка
ОБЩЕГО ВОЗДЕЙСТВИЯ ДЛЯ РАЗНЫХ ГРУПП МЫШЦ
1. Исходное положение – стойка

ноги врозь, руки за голову. 1. Резко повернуть таз вправо. 2. Резко повернуть таз влево. Во время поворотов плечевой пояс оставить неподвижным. Повторить 6–8 раз. Темп средний.
2. Исходное положение – стойка ноги врозь, руки за голову. 1–3. Сделать круговое движение тазом в одну сторону. 4–6. То же в другую сторону. 7–8. Опустить руки вниз и расслабленно потрясти кистями. Повторить 4–6 раз. Темп средний.
3. Исходное положение – стойка ноги врозь. 1–2. Сделать наклон вперед, правая рука скользит вдоль тела вниз, левая вдоль тела вверх. 3–4. Исходное положение. 5–8. То же в другую сторону. Повторить 6–8 раз. Темп средний.

Физкультминутка ОБЩЕГО ВОЗДЕЙСТВИЯ ДЛЯ РАЗНЫХ ГРУПП МЫШЦ1. Исходное положение – стойка ноги врозь, руки за голову. 1.

Слайд 13Выберете в таблице приведенные квадратные уравнения и решите их

Выберете в таблице приведенные квадратные уравнения и решите их

Слайд 14Выберете в таблице приведенные квадратные уравнения и решите их

Выберете в таблице приведенные квадратные уравнения и решите их

Слайд 15Решите уравнения 2-я способами

Решите уравнения 2-я способами

Слайд 16Решите уравнения 2-я способами

Решите уравнения 2-я способами

Слайд 17Вот последнее состязание: Здесь пройдете испытание. Три препятствия всего Будет здесь для вас

дано.

Первое препятствие:
Из оставшихся уравнений найти и решить неполное квадратное уравнение, у которого в=0, с=0
5x2= 0
х2 = 0
х1,2 =

Ответ: х = 0
Второе препятствие:
Найти и решить неполное квадратное уравнение, у которого с=0
3x2 - x = 0
х*(3х-1)=0
х1=0 3х-1=0
3х=1
х2= 1/3
Ответ: х1=0, х2= 1/3



Вот последнее состязание: Здесь пройдете испытание. Три препятствия всего  Будет здесь для вас дано. Первое препятствие:Из

Слайд 18Третье препятствие:
Решить неполное квадратное уравнение, у которого в=0
x2 – 25

= 0
х2=25
Х1,2=
Х1,2=

Ответ: Х1,2=

Третье препятствие:	Решить неполное квадратное уравнение, у которого в=0 x2 – 25 = 0х2=25Х1,2= Х1,2= Ответ: Х1,2=

Слайд 19Спасибо за урок!

Спасибо за урок!

Что такое shareslide.ru?

Это сайт презентаций, где можно хранить и обмениваться своими презентациями, докладами, проектами, шаблонами в формате PowerPoint с другими пользователями. Мы помогаем школьникам, студентам, учителям, преподавателям хранить и обмениваться учебными материалами.


Для правообладателей

Яндекс.Метрика

Обратная связь

Email: Нажмите что бы посмотреть