Презентация, доклад по химии на тему Полимеры

Содержание

Полимеры- вещества, молекулы которых состоят из множества повторяющихся структурных звеньев, соединенных между собой химическими связями.

Слайд 1полимеры

полимеры

Слайд 2Полимеры- вещества, молекулы которых состоят из множества повторяющихся структурных звеньев, соединенных

между собой химическими связями.
Полимеры- вещества, молекулы которых состоят из множества повторяющихся структурных звеньев, соединенных между собой химическими связями.

Слайд 3Реакции полимеризации – это химический процесс соединения множества исходных молекул низкомолекулярного

вещества (мономер) в крупные молекулы (полимер)

Гомополимеризация – соединение молекул одного полимера ( полипропилен)
Сопополимеризация – соединение молекул двух и более исходных веществ
( бутадиен-стирольный каучук)

Реакции полимеризации – это химический процесс соединения множества исходных молекул низкомолекулярного вещества (мономер) в крупные молекулы (полимер)Гомополимеризация

Слайд 5Получение бутадиен-стирольного каучука

Получение бутадиен-стирольного каучука

Слайд 6Реакции поликонденсации – это химический процесс соединения исходных молекул мономера в

макромолекулы полимера, идущий с образованием побочного низкомолекулярного продукта

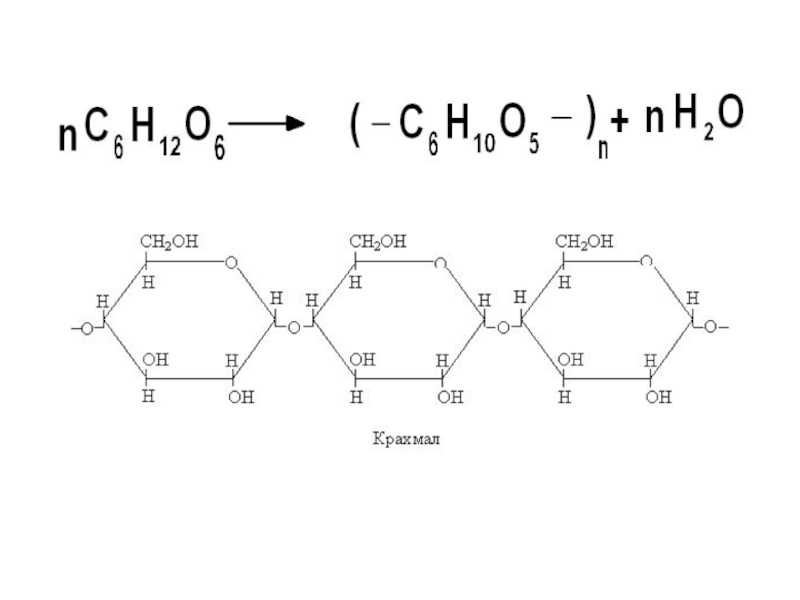
Гомополиконденсация (крахмал)
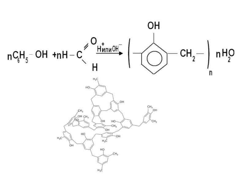
Сопополиконденсация
( фенолформальдегидная смола)

Реакции поликонденсации – это химический процесс соединения исходных молекул мономера в макромолекулы полимера, идущий с образованием побочного

Слайд 9Классификация по происхождению
Полимеры природные
Полимеры искусственные
Полимеры синтетические

Классификация по происхождениюПолимеры природныеПолимеры искусственныеПолимеры синтетические

Слайд 10Классификация по составу основной цепи
Полимеры органические
Полимеры элементоорганические
Полимеры неорганические

Классификация по составу основной цепиПолимеры органическиеПолимеры элементоорганическиеПолимеры неорганические

Слайд 11Классификация по форме
Полимеры линейные
Полимеры разветвленные
Полимеры пространственные (трехмерные)

Классификация по формеПолимеры линейныеПолимеры разветвленныеПолимеры пространственные (трехмерные)

Слайд 12Классификация по способу получения
Полимеры полимеризационные
Полимеры поликонденсационные

Классификация по способу полученияПолимеры полимеризационныеПолимеры поликонденсационные

Слайд 13Классификация по отношению к нагреванию
Полимеры термопластичные
Полимеры термореактивные

Классификация по отношению к нагреваниюПолимеры термопластичныеПолимеры термореактивные

Слайд 14Пластмассы – материалы, изготовленные на основе полимеров, способные приобретать при нагревании

заданную форму и сохранять её после охлаждения
Пластмассы – материалы, изготовленные на основе полимеров, способные приобретать при нагревании заданную форму и сохранять её после

Что такое shareslide.ru?

Это сайт презентаций, где можно хранить и обмениваться своими презентациями, докладами, проектами, шаблонами в формате PowerPoint с другими пользователями. Мы помогаем школьникам, студентам, учителям, преподавателям хранить и обмениваться учебными материалами.


Для правообладателей

Яндекс.Метрика

Обратная связь

Email: Нажмите что бы посмотреть