Презентация, доклад к интегрированному уроку по математике и физике на тему Квадратные уравления в задачах по физике

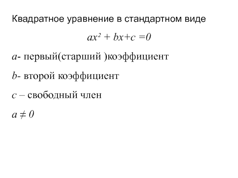
Квадратное уравнение в стандартном видеaх² + bх+c =0a- первый(старший )коэффициентb- второй коэффициентc – свободный членa ≠ 0

Слайд 1Применение алгоритма решения квадратного уравнения
к решению физических задач

Применение алгоритма решения квадратного уравнения к решению физических задач

Слайд 3Квадратное уравнение в стандартном виде
aх² + bх+c =0
a- первый(старший )коэффициент
b- второй

коэффициент
c – свободный член
a ≠ 0
Квадратное уравнение в стандартном видеaх² + bх+c =0a- первый(старший )коэффициентb- второй коэффициентc – свободный членa ≠ 0

Слайд 4х² -25= 0
6х³- 3х=0
15х²- х³-5 =0
х+х²- 4 =0
3,6х² +4х – 6

=0
х² -25= 06х³- 3х=015х²- х³-5 =0х+х²- 4 =03,6х² +4х – 6 =0

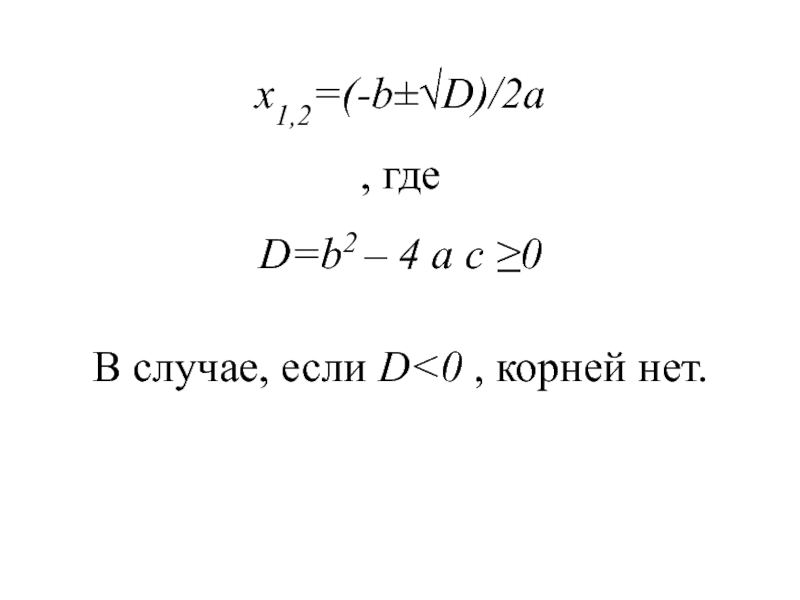
Слайд 5x1,2=(-b±√D)/2a
, где
D=b2 – 4 a c ≥0

В случае, если D

, корней нет.
x1,2=(-b±√D)/2a, где D=b2 – 4 a c ≥0В случае, если D

Слайд 6Теорема Виета.
x1 + x2 = -b/a
x1 x2 = c/a

Теорема Виета. x1 + x2 = -b/ax1 x2 = c/a

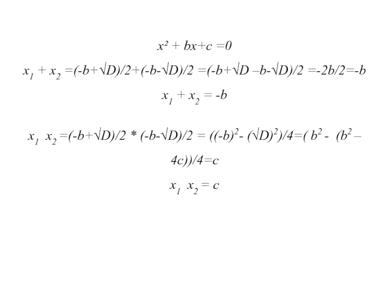
Слайд 7
х² + bх+c =0
x1 + x2 =(-b+√D)/2+(-b-√D)/2 =(-b+√D –b-√D)/2 =-2b/2=-b
x1 +

x2 = -b

x1 x2 =(-b+√D)/2 * (-b-√D)/2 = ((-b)2- (√D)2)/4=( b2 - (b2 – 4c))/4=c
x1 x2 = c
х² + bх+c =0x1 + x2 =(-b+√D)/2+(-b-√D)/2 =(-b+√D –b-√D)/2 =-2b/2=-bx1 + x2 = -bx1 x2 =(-b+√D)/2 *

Слайд 8Ускорение:
a = const (1)
Скорость:
v = v0 + a t (2)
, где v0

– начальная скорость, t – время
Перемещение:
s = s0 + v0 t + a t2/2 (3)
, где s0 – начальное перемещение.
Ускорение:a = const	(1)Скорость:v = v0 + a t 	(2), где v0 – начальная скорость, t – время

Слайд 9На ри­сун­ке 1 при­ве­ден гра­фик за­ви­си­мо­сти ско­ро­сти дви­же­ния тела от вре­ме­ни.

Ука­жи­те со­от­вет­ству­ю­щий ему гра­фик за­ви­си­мо­сти пути от вре­ме­ни (рис. 2).

На ри­сун­ке 1 при­ве­ден гра­фик за­ви­си­мо­сти ско­ро­сти дви­же­ния тела от вре­ме­ни. Ука­жи­те со­от­вет­ству­ю­щий ему гра­фик за­ви­си­мо­сти пути

Слайд 10На ри­сун­ке пред­став­лен гра­фик за­ви­си­мо­сти ко­ор­ди­на­ты x от вре­ме­ни t для

четырёх тел, дви­жу­щих­ся вдоль оси Ox. Рав­но­мер­но­му дви­же­нию со­от­вет­ству­ет гра­фик __ Равноускоренному движению соответствует график __

На ри­сун­ке пред­став­лен гра­фик за­ви­си­мо­сти ко­ор­ди­на­ты x от вре­ме­ни t для четырёх тел, дви­жу­щих­ся вдоль оси Ox.

Слайд 11На ри­сун­ке пред­став­лен гра­фик за­ви­си­мо­сти про­ек­ции ускоре­ния тела ax от вре­ме­ни

t. Какие участ­ки гра­фи­ка соответ­ству­ют рав­но­уско­рен­но­му дви­же­нию тела вдоль оси x?

 1) AB и DE
2) ВС и CD
3) толь­ко ВС
4) толь­ко CD
На ри­сун­ке пред­став­лен гра­фик за­ви­си­мо­сти про­ек­ции ускоре­ния тела ax от вре­ме­ни t. Какие участ­ки гра­фи­ка соответ­ству­ют рав­но­уско­рен­но­му

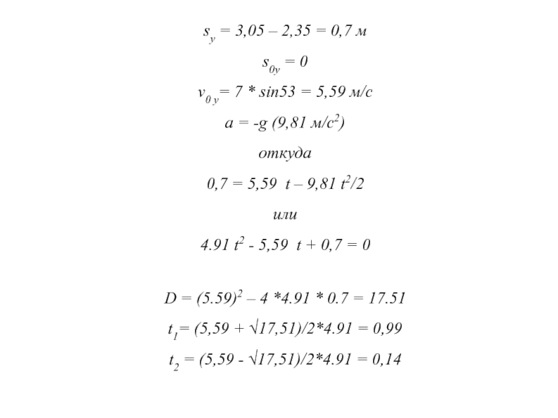
Слайд 12 За какое время долетит до корзины баскетбольный мяч, брошенный под

углом 53 градуса горизонту, со скоростью 7 м/с, если точка вылета мяча находится на высоте 2,35 метра от пола? Высота кольца 3,05 м от пола. Считаем, что игрок произвел результативный бросок.
За какое время долетит до корзины баскетбольный мяч, брошенный под углом 53 градуса горизонту, со скоростью

Слайд 13sy = 3,05 – 2,35 = 0,7 м
s0y = 0
v0 y=

7 * sin53 = 5,59 м/с
a = -g (9,81 м/с2)
откуда
0,7 = 5,59 t – 9,81 t2/2
или
4.91 t2 - 5,59 t + 0,7 = 0

D = (5.59)2 – 4 *4.91 * 0.7 = 17.51
t1= (5,59 + √17,51)/2*4.91 = 0,99
t2 = (5,59 - √17,51)/2*4.91 = 0,14
sy = 3,05 – 2,35 = 0,7 мs0y = 0v0 y= 7 * sin53 = 5,59 м/сa

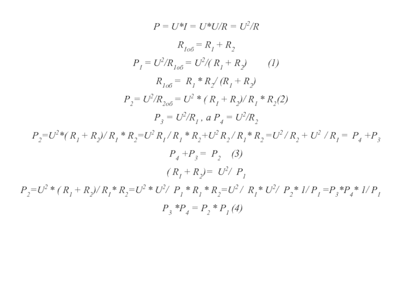
Слайд 14 Два резистора соединяют сначала последовательно, затем параллельно и дважды подключают к

источнику постоянного напряжения. В первом случае в цепи рассеивается мощность Р1 =4 Вт, во втором – Р2=18 Вт. Найдите мощность электрического тока в каждом резисторе в случае поочередного подключения резисторов к тому же источнику.
Два резистора соединяют сначала последовательно, затем параллельно и дважды подключают к источнику постоянного напряжения. В первом случае

Слайд 15P = U*I = U*U/R = U2/R
R1об = R1 + R2


P1 = U2/R1об = U2/( R1 + R2) (1)
R1об = R1 * R2/ (R1 + R2)
P2= U2/R2об = U2 * ( R1 + R2)/ R1 * R2 (2)
P3 = U2/R1 , а P4 = U2/R2
P2=U2*( R1 + R2)/ R1 * R2=U2 R1 / R1 * R2+U2 R2 / R1* R2 =U2 / R2 + U2 / R1 = P4 +P3
P4 +P3 = P2 (3)
( R1 + R2)= U2/ P1
P2=U2 * ( R1 + R2)/ R1* R2=U2 * U2/ P1 * R1 * R2=U2 / R1* U2/ P2* 1/ P1 =P3*P4* 1/ P1
P3 *P4 = P2 * P1 (4)
P = U*I = U*U/R = U2/RR1об = R1 + R2 P1 = U2/R1об = U2/( R1

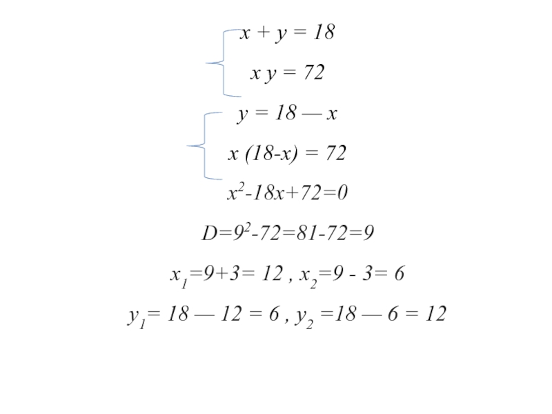
Слайд 16x + y = 18
x y = 72
y = 18 —

x
x (18-x) = 72
x2-18x+72=0
D=92-72=81-72=9
x1=9+3= 12 , x2=9 - 3= 6
y1= 18 — 12 = 6 , y2 =18 — 6 = 12

x + y = 18x y = 72y = 18 — xx (18-x) = 72x2-18x+72=0D=92-72=81-72=9x1=9+3= 12 ,

Слайд 17Домашнее задание.
1. Решите уравнение 5(х-2)=(3х+2)(х-2).
2. Один из корней данного квадратного уравнения

равен –3. Найдите коэффициент k и второй корень уравнения: 5х+kх-12=0
3. Вывести формулу траектории движения тела, брошенного под углом к горизонту.
Домашнее задание.1. Решите уравнение 5(х-2)=(3х+2)(х-2).2. Один из корней данного квадратного уравнения равен –3. Найдите коэффициент k и

Что такое shareslide.ru?

Это сайт презентаций, где можно хранить и обмениваться своими презентациями, докладами, проектами, шаблонами в формате PowerPoint с другими пользователями. Мы помогаем школьникам, студентам, учителям, преподавателям хранить и обмениваться учебными материалами.


Для правообладателей

Яндекс.Метрика

Обратная связь

Email: Нажмите что бы посмотреть