Презентация, доклад по теме Алгебраические выражения

Содержание

Множества, элементами которых являются числа, называются числовыми. N={1; 2; 3; ...; n; ...} — множество натуральных чисел;Zo={0; 1; 2; ...; n; ...} — множество целых неотрицательных чисел;Z={0; ±1; ±2; ...; ±n; ...} — множество целых чисел;Q={m/n:

Слайд 1Автор: Зеленская О.Ю.
ДовДополнительная образовательная программа
«Подготовительный курс для абитуриентов колледжа» по

Математике

Тема: Понятие алгебраического выражения. Преобразование выражений. по Математике
Автор: Зеленская О.Ю.ДовДополнительная образовательная программа «Подготовительный курс для абитуриентов колледжа» по МатематикеТема: Понятие алгебраического выражения. Преобразование выражений.

Слайд 2
Множества, элементами которых являются числа, называются числовыми.

N={1; 2; 3; ...;

n; ...} — множество натуральных чисел;
Zo={0; 1; 2; ...; n; ...} — множество целых неотрицательных чисел;
Z={0; ±1; ±2; ...; ±n; ...} — множество целых чисел;
Q={m/n: m∈ Z,n∈ N} — множество рациональных чисел.
I-множество иррациональных чисел.
R—множество действительных чисел.


Множества, элементами которых являются числа, называются числовыми. N={1; 2; 3; ...; n; ...} — множество натуральных чисел;Zo={0;

Слайд 3Понятие выражения
Числовое выражение – это любая запись из чисел, знаков арифметических

действий и скобок.



Выражение, содержащее буквы, которыми обозначены некоторые числа, называется буквенным выражением.

Алгебраическим выражением называется одна или несколько алгебраических величин (чисел и букв), соединенных между собой знаками алгебраических действий: сложения, вычитания, умножения и деления, а также извлечения корня и возведения в целую степень и знаками последовательности этих действий (обычно скобками различного вида).

Понятие выраженияЧисловое выражение – это любая запись из чисел, знаков арифметических действий и скобок.Выражение, содержащее буквы, которыми

Слайд 4Виды алгебраических выражений.
Рациональные алгебраические выражения – это целые и дробные алгебраические

выражения.

Целое алгебраическое выражение.В целых алгебраических выражениях все значения переменных являются допустимыми.
Дробное. В дробных алгебраических выражениях допустимыми являются все значения переменных, при которых не происходит деления на нуль.

II. Иррациональные алгебраические выражения содержат извлечение корня из переменной или возведение переменной в дробную степень.

Виды алгебраических выражений.Рациональные алгебраические выражения – это целые и дробные алгебраические выражения.Целое алгебраическое выражение.В целых алгебраических выражениях

Слайд 5Область определения алгебраического выражения.

Множество значений переменной, при которых выражение

не теряет смысл, называется областью определения этого выражения.
Также можно сказать, что область определения выражения – это множество всех допустимых значений переменной.

Найти ОДЗ выражения:

Область определения алгебраического выражения.  Множество значений переменной, при которых выражение не теряет смысл, называется областью определения

Слайд 6Приведение подобных слагаемых
Подобные слагаемые — это слагаемые, которые имеют одинаковую буквенную

часть.




Приведение подобных слагаемыхПодобные слагаемые — это слагаемые, которые имеют одинаковую буквенную часть.

Слайд 7Раскройте скобки и приведите подобные слагаемые:

Раскройте скобки и приведите подобные слагаемые:

Слайд 8

Тождество – это равенство, справедливое при всех допустимых значениях входящих в

него переменных.
Замену одного выражения другим, тождественно равным ему выражением, называют тождественным преобразованием или просто преобразованием выражения.


Тождество – это равенство, справедливое при всех допустимых значениях входящих в него переменных. Замену одного выражения другим,

Слайд 9
Являются ли тождественно равными выражения:
а) (2а)(7b) и 14аb;
б) -2а + 2а

и 0;
в) х - у и у - х;
г) (х - у)² и (у - х)².
Являются ли тождественно равными выражения:
а) 2 + 8bа и 8аb + 2;
б) 2х + 7 и 2(x + 7);
в) (а + b) • 0 и а + b;
г) (а + b) • 2 и 2а + 2b.

Являются ли тождественно равными выражения:а) (2а)(7b) и 14аb;б) -2а + 2а и 0;в) х - у и

Слайд 11Представьте выражение в виде многочлена стандартного вида

а) 3(6 - 5x) +

17x - 10;
б) 8(3у + 4) - 29у + 14;
в) 7(2z - 3) + 6z - 12;
г) 2(7,3 - 1,6а) + 3,2а - 9,6;
д) -5(0,Зb + 1,7) + 12,5 - 8,5b;
е) -4(3,3 - 8с) + 4,8с + 5,2.

Представьте выражение в виде многочлена стандартного видаа) 3(6 - 5x) + 17x - 10;б) 8(3у + 4)

Слайд 12
Степень с целым показателем и ее свойства

Степень с целым показателем и ее свойства

Слайд 13Свойства степени с целым показателем

Свойства степени с целым показателем

Слайд 14Вычислить

Вычислить

Слайд 16Применение свойств степени к решению примеров
1.Сократить дробь:
2. Упростить выражения:

3*. Сократить

дробь:

Применение свойств степени к решению примеров1.Сократить дробь:2. Упростить выражения: 3*. Сократить дробь:

Слайд 17Стандартный вид числа
Стандартный вид (экспоненциальная форма) числа — запись числа в

виде а × 10n,
где n – целое число, 1 ≤ a < 10
а - называют мантиссой числа, n - порядком числа.

Например:
2170000 = 2,17×106
0,00000267 = 2,67 × 10-6

Каждое число, бóльшее 10, можно записать в стандартном виде:
a · 10n, где 1 ≤ a ≤ 10 и n — натуральное число.




Стандартный вид числаСтандартный вид (экспоненциальная форма) числа — запись числа в виде а × 10n, где n

Слайд 18
Выполнить действия с числами в стандартном виде и записать ответ в

стандартном виде.

Выполнить действия с числами в стандартном виде и записать ответ в стандартном виде.

Слайд 19
Площадь тер­ри­то­рии Рос­сии со­став­ля­ет 17,1 млн км2. Как эта ве­ли­чи­на за­пи­сы­ва­ет­ся

в стан­дарт­ном виде?
Расстояние от Юпи­те­ра — одной из пла­нет Сол­неч­ной си­сте­мы — до Солн­ца равно 778,1 млн км. Как эта ве­ли­чи­на за­пи­сы­ва­ет­ся в стан­дарт­ном виде?
Пло­щадь по­верх­но­сти Плу­то­на — одной из пла­нет Сол­неч­ной си­сте­мы — равна 17,95 млн. км2. Как эта ве­ли­чи­на за­пи­сы­ва­ет­ся в стан­дарт­ном виде?
Число молекул газа в 1 см3 при 0°С и давлении 760 мм.рс.ст равно 27 000 000 000 000 000 000. Записать это число в стандартном виде.



Площадь тер­ри­то­рии Рос­сии со­став­ля­ет 17,1 млн км2. Как эта ве­ли­чи­на за­пи­сы­ва­ет­ся в стан­дарт­ном виде? Расстояние от Юпи­те­ра

Слайд 20
Формулы сокращенного
умножения

Формулы сокращенного умножения

Слайд 21Формулы для квадратов

(a + b)2 = a2 + 2ab + b2–

квадрат суммы двух чисел

(a – b)2 = a2 – 2ab + b2– квадрат разности двух чисел

a2 – b2 = (a – b)(a + b) – разность квадратов

(a + b + c)2 = a2 + b2 + c2 + 2ab + 2ac + 2bc – квадрат суммы трех чисел



Формулы для квадратов(a + b)2 = a2 + 2ab + b2– квадрат суммы двух чисел(a – b)2

Слайд 22Формулы для кубов

(a + b)3 = a3 + 3a2b + 3ab2

+ b3– куб суммы

(a – b)3 = a3 – 3a2b + 3ab2 – b3– куб разности

a3 + b3 = (a + b)(a2 – ab + b2)– сумма кубов

a3 – b3 = (a – b)(a2 + ab + b2)– разность кубов

Формулы для кубов(a + b)3 = a3 + 3a2b + 3ab2 + b3– куб суммы(a – b)3

Слайд 23Преобразовать, используя формулы сокращенного умножения

Преобразовать, используя формулы сокращенного умножения

Слайд 24Разложение многочленов на множители

Тождественное преобразование, приводящее к произведению нескольких

множителей, называют разложением многочлена на множители.

Основные методы разложения на множители:

Вынесение общего множителя за скобки.
Использование формул сокращенного умножения.
Способ группировки.
Способ выделения полного квадрата.
Разложение многочленов на множители  Тождественное преобразование, приводящее к произведению нескольких множителей, называют разложением многочлена на множители.

Слайд 25Теорема о разложении квадратного трехчлена

Разложить на множители квадратный трехчлен:

Теорема о разложении квадратного трехчленаРазложить на множители квадратный трехчлен:

Слайд 26  Разложите на множители


  Разложите на множители

Слайд 27Преобразовать выражения

Преобразовать выражения

Слайд 28Действия с алгебраическими дробями

Действия с алгебраическими дробями

Слайд 29Сократить дробь

Сократить дробь

Слайд 30Выполнить действия

Выполнить действия

Слайд 31
Понятие квадратного корня и его свойства.

Понятие квадратного корня и его свойства.

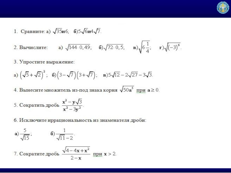
Слайд 32Квадратные корни

Квадратные корни

Что такое shareslide.ru?

Это сайт презентаций, где можно хранить и обмениваться своими презентациями, докладами, проектами, шаблонами в формате PowerPoint с другими пользователями. Мы помогаем школьникам, студентам, учителям, преподавателям хранить и обмениваться учебными материалами.


Для правообладателей

Яндекс.Метрика

Обратная связь

Email: Нажмите что бы посмотреть