Презентация, доклад по алгебре и началам анализа Понятие производной 11 класс

xy- приращение аргумента- приращение функциисредняя скорость изменения функцииПусть , тогда будет приближаться к скоростиизменения функции в точке

Слайд 1Понятие
ПРОИЗВОДНОЙ
Преподаватель математики
ФГКОУ СПб СВУ МО РФ
Корнилова И.Ф.

Понятие ПРОИЗВОДНОЙ Преподаватель математики ФГКОУ СПб СВУ МО РФКорнилова И.Ф.

Слайд 2x
y










- приращение аргумента
- приращение функции

средняя скорость
изменения функции

Пусть

, тогда будет приближаться к скорости

изменения функции в точке







xy- приращение аргумента- приращение функциисредняя скорость изменения функцииПусть

Слайд 3x
y


















Определение
Производной функции

в точке называют
предел отношения приращения функции в точке
к приращению аргумента в точке , при условии,
что приращение аргумента стремится к 0

Обозначают


xyОпределениеПроизводной функции            в точке

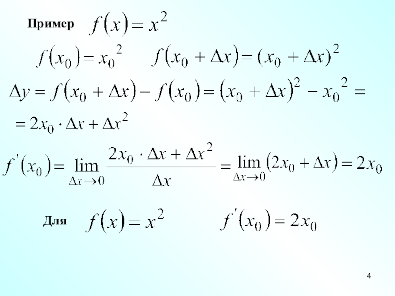
Слайд 4Пример










Для


Пример   Для

Слайд 5Пример










Для


и т. д.
Итак получаем новую функцию, производную

данной

Для функции

производная функция


Операция нахождения производной функции
называется дифференцированием.

Пример   Дляи т. д.Итак получаем новую функцию, производную даннойДля функциипроизводная функция Операция нахождения производной функции

Слайд 6Таблица производных










Таблица производных

Слайд 7Таблица производных



















Таблица производных

Слайд 8Таблица производных

























Таблица производных

Слайд 9Таблица производных































Таблица производных

Слайд 10Таблица производных



































Таблица производных

Слайд 11Правила дифференцирования


Производная суммы функций
Производная произведения функции на число

Правила дифференцированияПроизводная суммы функцийПроизводная произведения функции на число

Слайд 12Правила дифференцирования


Производная произведения функций
Производная частного функций


Правила дифференцированияПроизводная произведения функцийПроизводная частного функций

Слайд 13Правила дифференцирования


Производная сложной функции
Частный случай




Правила дифференцированияПроизводная сложной функцииЧастный случай

Слайд 14


Найти производную
Пример 1

Найти производнуюПример 1

Слайд 15


Найти производную
Пример 2





Пример 3

Найти производнуюПример 2  Пример 3

Слайд 16Найти производную
Пример 4



Найти производнуюПример 4

Слайд 17Найти производную
Пример 5





Найти производнуюПример 5

Слайд 18Найти производную



Пример 5
Пример 6


Найти производнуюПример 5Пример 6

Что такое shareslide.ru?

Это сайт презентаций, где можно хранить и обмениваться своими презентациями, докладами, проектами, шаблонами в формате PowerPoint с другими пользователями. Мы помогаем школьникам, студентам, учителям, преподавателям хранить и обмениваться учебными материалами.


Для правообладателей

Яндекс.Метрика

Обратная связь

Email: Нажмите что бы посмотреть