Презентация, доклад на тему Виды матриц. Дейсивия над ними

Содержание

Математика является универсальным языком, который широко применяется во всех сферах человеческой деятельности. Во многих экономических и профессиональных дисциплинах необходимы знания о матрицах, операциях над ними, умения решать прикладные задачи с помощью матриц. Актуальность этой темы

Слайд 1Матрицы. Виды матриц. Операции над матрицами. Преподаватель ДППК Трохимюк О.В.

Матрицы. Виды матриц. Операции над матрицами.  Преподаватель ДППК Трохимюк О.В.

Слайд 3
Математика является универсальным языком, который широко применяется во всех сферах человеческой

деятельности.
Во многих экономических и профессиональных дисциплинах необходимы знания о матрицах, операциях над ними, умения решать прикладные задачи с помощью матриц.
Актуальность этой темы усиливается в связи
с широким использованием матриц в экономических дисциплинах: финансы, экономика предприятий, статистика, логистика, экономико – математическое моделирование и др.
Математика является универсальным языком, который широко применяется во всех сферах человеческой деятельности.  Во многих экономических и

Слайд 4Историческая справка

Историческая справка

Слайд 5План
1. Определение матрицы. Виды матриц.
2. Действия над матрицами.

План1. Определение матрицы. Виды матриц. 2. Действия над матрицами.

Слайд 6Ключевые понятия и термины:
матрица;
определитель матрицы;
квадратная матрица;
прямоугольная матрица;
виды матриц.

Ключевые понятия и термины:матрица;определитель матрицы;квадратная матрица;прямоугольная матрица;виды матриц.

Слайд 7Литература
1. Алгебра и начала математического анализа: учебник для общеобразоват. организаций:

базов. и углубл. уровни / Ш.А. Алимов, Ю.М. Колягин, М.В. Ткачева и др. – М.: Просвещение, 2016. – 463 с.
2. Высшая математика для экономистов: Учебное пособие. – К.: Знания, Макаренко В.А., 2008 – 517 с.
3. Математика: Учебник / О.М. Афанасьева, Я.С. Бродский и др. – К.: Высшая школа, 2001.
4.Дидактический материал по математике: Учебное пособие / О.М. Афанасьева, Я.С. Бродский и др. – К.: Высшая школа, 2001.
5. Практические занятия по математике. Н.В. Богомолов. – М.: Высшая школа, 1983.
Литература 1. Алгебра и начала математического анализа: учебник для общеобразоват. организаций: базов. и углубл. уровни / Ш.А.

Слайд 8
Вопросы к теме

Что такое матрицы и зачем они нужны? Какие

виды матриц существуют?
Как найти определитель матрицы?
Какие операции можно выполнять над матрицами?

Вопросы к темеЧто такое матрицы и зачем они нужны? Какие виды матриц существуют?Как найти определитель матрицы?Какие

Слайд 9Актуализация опорных знаний студентов
Вопросы для фронтального опроса студентов
1. Как вычисляется определитель

второго порядка?
2. Вычислить определитель второго порядка:







Актуализация опорных знаний студентовВопросы для фронтального опроса студентов1. Как вычисляется определитель второго порядка?2. Вычислить определитель второго порядка:

Слайд 10Вычислить


Вычислить

Слайд 11Актуализация опорных знаний студентов
Вопросы для фронтального опроса студентов
1. Как вычисляется определитель

второго порядка?
2. Вычислить определитель второго порядка:




3.Вычислить определитель третьего порядка разложением определителя по элементам 1 строки:



Актуализация опорных знаний студентовВопросы для фронтального опроса студентов1. Как вычисляется определитель второго порядка?2. Вычислить определитель второго порядка:

Слайд 12Актуализация опорных знаний студентов
Вопросы для фронтального опроса студентов
1. Как вычисляется определитель

второго порядка?
2. Вычислить определитель второго порядка:




3.Вычислить определитель третьего порядка разложением определителя по элементам 1 строки:



Актуализация опорных знаний студентовВопросы для фронтального опроса студентов1. Как вычисляется определитель второго порядка?2. Вычислить определитель второго порядка:

Слайд 13

4. Проведем короткий анализ домашней работы.

5. Проверить определитель второго порядка

из домашнего задания



6. Проверить определитель третьего порядка из домашнего задания





4. Проведем короткий анализ домашней работы. 5. Проверить определитель второго порядка из домашнего задания6. Проверить определитель третьего

Слайд 147. Решение заданной системы с помощью правила Крамера.
Какие трудности возникли

при решении систем?
- Составление определителей, которые используются в формулах Крамера, и сами формулы.
- Ошибки при вычислении определителей второго и третьего порядка.
- Определение знака произведения двух чисел.
- Ошибки вычислительного характера.
- Другие.
8. Домашнее задание сдаётся преподавателю на проверку. Оценки будут объявлены на следующем занятии.
7. Решение заданной системы с помощью правила Крамера.  Какие трудности возникли при решении систем? - Составление

Слайд 15Изложение теоретического материала
и его закрепление
Изложение теоретического материала
и его

закрепление
Изложение теоретического материала и его закрепление Изложение теоретического материала и его закрепление

Слайд 161. Матрица – это упорядоченная таблица чисел которая имеет m

строк и n столбцов.




1. Матрица – это упорядоченная таблица чисел которая имеет  m строк и n столбцов.

Слайд 17 Числа это элементы матрицы. Следует помнить, что определитель – это

величина, которую изображают в виде квадратной таблицы; матрица – это всегда таблица чисел, никак по-другому не определяема.

Если , то матрица прямоугольная, если , то –
квадратная.





прямоугольная матрица размером



квадратная матрица ІІ порядка.


диагональная матрица ІІІ порядка.

Числа  это элементы матрицы. Следует помнить, что определитель – это величина, которую изображают в виде

Слайд 18 нулевая матрица размером


единичная матрица.





матрица - столбец.


матрица – строка.

нулевая матрица размером

Слайд 19Равенство матриц
Две матрицы с одинаковыми размерами

равны, если
их соответствующие элементы равны:

и , то A=B,




Так если



Равенство матриц Две матрицы с одинаковыми размерами       равны, если их соответствующие

Слайд 20Транспонирование матрицы
Если в данной матрице поменять строки и столбцы местами,


то получится транспонированная матрица данной.




Транспонирование матрицы Если в данной матрице поменять строки и столбцы местами, то получится транспонированная матрица данной.

Слайд 21Давайте наглядно рассмотрим транспонирование матрицы:





Давайте наглядно рассмотрим транспонирование матрицы:

Слайд 22
Где ещё применяются матрицы?
Теперь подробнее остановимся на некоторых областях применения матриц.
Понятие

матрицы и основанный на нем раздел математики – матричная алгебра – имеют чрезвычайно важное значение для экономистов.
Так как значительная часть математических моделей экономических объектов и процессов записывается в достаточно простой, а главное – компактной матричной форме.
С помощью матриц удобно записывать некоторые экономические зависимости.
Где ещё применяются матрицы?Теперь подробнее остановимся на некоторых областях применения матриц.Понятие матрицы и основанный на нем раздел

Слайд 23Данная таблица может быть записана в компактной форме в виде матрицы

распределения ресурсов по отраслям:


Данная таблица может быть записана в компактной форме в виде матрицы распределения ресурсов по отраслям:

Слайд 24
В данной записи, например, матричный элемент показывает, сколько электроэнергии употребляет промышленность,

а элемент - сколько трудовых ресурсов потребляет сельское хозяйство.
С помощью матриц можно решать системы уравнений, в них удобно представлять какие-либо данные.
Таким образом, мы пришли к выводу, что матрицы широко применялись и применяются до сих пор.
В данной записи, например, матричный элемент показывает, сколько электроэнергии употребляет промышленность, а элемент - сколько трудовых ресурсов

Слайд 252. Действия над матрицами.
Матрицы можно умножать на число, складывать,

умножать на матрицу.
Умножить матрицу на число – это значит, каждый элемент умножить на это число.
Складывать можно матрицы одного размера. Суммой двух матриц является матрица, элементы которой равны сумме соответствующих элементов данных матриц. Так же определяется и разность.
2. Действия над матрицами.  Матрицы можно умножать на число, складывать, умножать на матрицу.  Умножить матрицу

Слайд 26Свойства сложения и умножения матриц.


Свойства сложения и умножения матриц.

Слайд 27Действия над матрицами. Закрепление
Пример 1. Даны матрицы A и B

с элементами, указанными ниже:


Найдите сумму матриц C=A+B. 
Как мы видим, размерность матриц A и B совпадает и равна 2×3, следовательно, эти матрицы можно сложить. Итоговая матрица C будет равна: C=A+B. Матрица C также имеет размерность 2×3.



Действия над матрицами. Закрепление Пример 1. Даны матрицы A и B с элементами, указанными ниже:

Слайд 28Пример 2. Найдите разность матриц A и B:


Размерность матриц A

и B одинакова, значит, эти матрицы можно вычитать. Разность D=A - B



Пример 2. Найдите разность матриц A и B: Размерность матриц A и B одинакова, значит, эти матрицы

Слайд 29Задания для устного ответа.
Пример 1. Найдите сумму и разность матриц A

и B:


Задания для устного ответа. Пример 1. Найдите сумму и разность матриц A и B:

Слайд 30Задания для устного ответа.
Пример 1. Найдите сумму и разность матриц A

и B:


Задания для устного ответа. Пример 1. Найдите сумму и разность матриц A и B:

Слайд 31Задания для устного ответа.
Пример 1. Найдите сумму и разность матриц A

и B:


Задания для устного ответа. Пример 1. Найдите сумму и разность матриц A и B:

Слайд 32Пример 2. Найти сумму матриц. Проблемные вопросы:
Почему можно (нельзя) сложить

матрицы? (имеет значение размерность матриц)





Пример 2. Найти сумму матриц. Проблемные вопросы: Почему можно (нельзя) сложить матрицы? (имеет значение размерность матриц)

Слайд 33Пример 2. Найти сумму матриц. Проблемные вопросы:
Почему можно (нельзя) сложить

матрицы? (имеет значение размерность матриц)





Пример 2. Найти сумму матриц. Проблемные вопросы: Почему можно (нельзя) сложить матрицы? (имеет значение размерность матриц)

Слайд 34Пример 3. Есть матрица A, давайте умножим её на 2.



Пример 4.

Для матрицы A нужно найти 5A.





Пример 3. Есть матрица A, давайте умножим её на 2.Пример 4. Для матрицы A нужно найти 5A.

Слайд 35Пример 3. Есть матрица A, давайте умножим её на 2.



Пример 4.

Для матрицы A нужно найти 5A.





Пример 3. Есть матрица A, давайте умножим её на 2.Пример 4. Для матрицы A нужно найти 5A.

Слайд 36 Пример 5.

Найти:





Пример 5.

Слайд 37 Пример 5.

Найти:





Пример 5.

Слайд 38 Пример 5.

Найти:





Пример 5.

Слайд 39

Произведением двух матриц АВ является матрица С, элемент

которой равен сумме произведений соответствующих элементов i - той строки матрицы А и j - того столбца матрицы В. (Чтобы получить i-тую строку произведения, необходимо умножить i-тую строку матрицы А на каждый столбец матрицы В)
Чтобы умножать матрицы, необходимо, чтобы количество столбцов матрицы А было равно количеству строк матрицы В.
Размер А: m×n; размер В: n×p, то размер АВ: m×p.



Произведением двух матриц АВ является матрица С, элемент которой  равен сумме произведений соответствующих элементов

Слайд 40Свойства произведений матриц


Свойства произведений матриц

Слайд 41Пример 1.



Пример 2.





Пример 1. Пример 2.

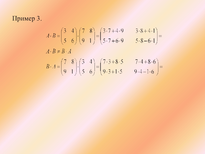
Слайд 42Пример 3.



Пример 3.

Слайд 43Пример 3.






Пример 3.

Слайд 44Пример 3.






Пример 3.

Слайд 45Пример 3.






Пример 3.

Что такое shareslide.ru?

Это сайт презентаций, где можно хранить и обмениваться своими презентациями, докладами, проектами, шаблонами в формате PowerPoint с другими пользователями. Мы помогаем школьникам, студентам, учителям, преподавателям хранить и обмениваться учебными материалами.


Для правообладателей

Яндекс.Метрика

Обратная связь

Email: Нажмите что бы посмотреть