Презентация, доклад по математике Смешанные дроби(5 класс)

Содержание

СМЕШАННЫЕ ДРОБИЦЕЛАЯ ЧАСТЬДРОБНАЯ ЧАСТЬ

Слайд 1*
Классная работа
А МАТЕМАТИКУ – МЫСЛЯЩИЙ.

*Классная работаА МАТЕМАТИКУ – МЫСЛЯЩИЙ.

Слайд 4СМЕШАННЫЕ ДРОБИ
ЦЕЛАЯ ЧАСТЬ
ДРОБНАЯ ЧАСТЬ

СМЕШАННЫЕ  ДРОБИЦЕЛАЯ ЧАСТЬДРОБНАЯ ЧАСТЬ

Слайд 7Цель урока:
1) Научиться представлять неправильную дробь в виде

смешанной дроби;
2) Научиться представлять смешанную дробь в виде неправильной дроби.
Цель урока:1) Научиться представлять неправильную дробь в виде    смешанной дроби; 2) Научиться представлять смешанную

Слайд 8У МЕНЯ ВСЕ ПОЛУЧИТСЯ!
Учебник стр.198.
Составить алгоритмы преобразования неправильной дроби в смешанную

дробь и смешанной дроби в неправильную дробь
У МЕНЯ ВСЕ ПОЛУЧИТСЯ!Учебник стр.198.Составить алгоритмы преобразования неправильной дроби в смешанную дробь и смешанной дроби в неправильную

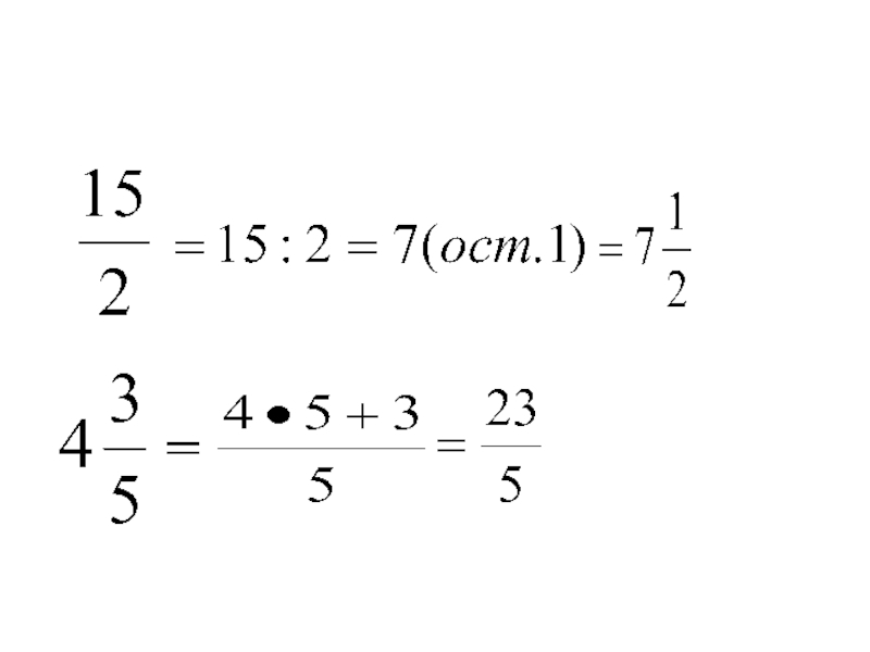
Слайд 9Алгоритм преобразования неправильной дроби в смешанную дробь
1. Разделить числитель на знаменатель

с остатком.
2. Целая часть смешанной дроби – это неполное частное
3. Числитель дробной части – это остаток
4. Знаменатель дробной части – это делитель

Алгоритм  преобразования неправильной дроби в смешанную дробь1. Разделить числитель на знаменатель с остатком.2. Целая часть смешанной

Слайд 10Алгоритм преобразования смешанной дроби в неправильную дробь
1. Умножить целую часть смешанной

дроби на знаменатель дробной части
2. К полученному произведению прибавить числитель дробной части
3. Полученное число записать в числитель неправильной дроби
4. Знаменатель оставить без изменения

Алгоритм  преобразования смешанной дроби в неправильную дробь1. Умножить целую часть смешанной дроби на знаменатель дробной части

Слайд 11Неправильная дробь
Неправильная дробь
Смешанная дробь

Неправильная дробьНеправильная дробьСмешанная дробь

Слайд 13Установите соответствие между числами в правом и левом столбце

Установите соответствие между числами в правом и левом столбце

Слайд 14самостоятельная работа
1 вариант
2 вариант
Запишите неправильную дробь в виде смешанного числа
Запишите смешанное

число в виде неправильной дроби
самостоятельная работа1 вариант2 вариантЗапишите неправильную дробь в виде смешанного числаЗапишите смешанное число в виде неправильной дроби

Слайд 15Эталон к самостоятельной работе
1 вариант
2 вариант

Эталон к самостоятельной работе1 вариант2 вариант

Слайд 16Цель урока:
1) Научиться представлять неправильную дробь в виде

смешанной дроби;
2) Научиться представлять смешанную дробь в виде неправильной дроби.
Цель урока:1) Научиться представлять неправильную дробь в виде    смешанной дроби; 2) Научиться представлять смешанную

Слайд 17УРОК ПОЛЕЗЕН, ВСЁ ПОНЯТНО.

ЛИШЬ КОЕ-ЧТО ЧУТЬ-ЧУТЬ НЕЯСНО.

ЕЩЁ ПРИДЁТСЯ ПОТРУДИТЬСЯ.

ДА, ТРУДНО ВСЁ-ТАКИ

УЧИТЬСЯ!
УРОК ПОЛЕЗЕН, ВСЁ ПОНЯТНО.ЛИШЬ КОЕ-ЧТО ЧУТЬ-ЧУТЬ НЕЯСНО.ЕЩЁ ПРИДЁТСЯ ПОТРУДИТЬСЯ.ДА, ТРУДНО ВСЁ-ТАКИ УЧИТЬСЯ!

Слайд 18ДОМАШНЕЕ ЗАДАНИЕ
№778(б)
№780(б)

ДОМАШНЕЕ ЗАДАНИЕ№778(б)№780(б)

Что такое shareslide.ru?

Это сайт презентаций, где можно хранить и обмениваться своими презентациями, докладами, проектами, шаблонами в формате PowerPoint с другими пользователями. Мы помогаем школьникам, студентам, учителям, преподавателям хранить и обмениваться учебными материалами.


Для правообладателей

Яндекс.Метрика

Обратная связь

Email: Нажмите что бы посмотреть