Презентация, доклад по математике Полное исследование и построение графика функции

Содержание

Исследовать и построить график функции:

Слайд 1Исследование функций и построение графиков.

Исследование функций и построение графиков.

Слайд 2Исследовать и построить график функции:

Исследовать и построить график функции:

Слайд 31.  Область определения  функции.
 Найдем D(y)





Функция существует при



График имеет три

ветви.
1.  Область определения  функции.  Найдем D(y) Функция существует при График имеет три ветви.

Слайд 42. Четность функции.
Выясним является функция четной, нечетной или общего вида.



Область

определения функции симметрична относительна нуля (мы выкололи две симметричные точки)


2. Четность функции. Выясним является функция четной, нечетной или общего вида.Область определения функции симметрична относительна нуля (мы

Слайд 5Получили, что

следовательно,
функция нечетная, и график функции симметричен относительно начала координат.


Получили, что              следовательно, функция

Слайд 63. Точки пересечения графика функции с осями координат
а) Точки пересечения с

осью ОХ (y=0)

x=0
б) Точки пересечения с осью ОY (x=0)


График нашей функции проходит через начало координат.


3. Точки пересечения графика функции с осями координата) Точки пересечения с осью ОХ (y=0)

Слайд 74.Промежутки знакапостоянства
Найдем корни числителя и знаменателя, нанесем их на числовую ось

и расставим знаки:



4.Промежутки знакапостоянстваНайдем корни числителя и знаменателя, нанесем их на числовую ось и расставим знаки:

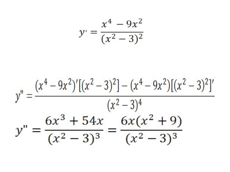
Слайд 85.Промежутки монотонности функции и ее экстремумы.
Находим интервалы возрастания и убывания

функции и ее экстремумы, для чего находим первую производную функции :

Для определения производной дроби используем формулу:

5.Промежутки монотонности функции и ее экстремумы.  Находим интервалы возрастания и убывания функции и ее экстремумы, для

Слайд 9Приравняем производную к нулю:
x=0 x=3

x=-3
Приравняем производную к нулю:x=0      x=3      x=-3

Слайд 10Определим критические точки, для чего знаменатель приравняем нулю.
В корнях четной кратности

производная знак не меняет.
Нанесем нули производной  и корни ее знаменателя на числовую ось, расставим знаки и найдем точки экстремума и промежутки возрастания и убывания.

Определим критические точки, для чего знаменатель приравняем нулю.В корнях четной кратности производная знак не меняет. Нанесем нули

Слайд 11Найдем значение функции в точках экстремума:

Найдем значение функции в точках экстремума:

Слайд 126.Выпуклость, вогнутость и точки перегиба функции.
Для определения выпуклости и вогнутости необходимо

найти вторую производную заданной функции

или первую производную функции

6.Выпуклость, вогнутость и точки перегиба функции. Для определения выпуклости и вогнутости необходимо найти вторую производную заданной функции

Слайд 14 Определяем критические и стационарные точки. Критическими точками являются точки Стационарной точкой

является точка x=0

Определяем выпуклость, вогнутость и точки перегиба.
Y” - + - +
Y 0

Определяем критические и стационарные точки. Критическими точками являются точки   Стационарной точкой является точка

Слайд 15 Функция вогнута на интервале

( ; 0) ( ) Функция выпукла на интервале (-∞; ) (0; ) Точка перегиба x=0
Функция вогнута на интервале   (

Слайд 167. Асимптоты функции
Вертикальные асимптоты это прямые 


Уравнение горизонтальной асимптоты функции   имеет вид 

y=b, где

Степень числителя дроби   на единицу больше степени знаменателя, поэтому предел  не существует, и график функции   не имеет горизонтальной асимптоты.

7. Асимптоты функцииВертикальные асимптоты это прямые Уравнение горизонтальной асимптоты функции   имеет вид  y=b, где Степень числителя дроби   на

Слайд 17 Найдем наклонную асимптоту. Уравнение наклонной асимптоты имеет вид  y=kx+b

. Коэффициенты k  и b   вычисляются следующим образом:

Уравнение наклонной асимптоты имеет вид 

.

Найдем наклонную асимптоту. Уравнение наклонной асимптоты имеет вид    y=kx+b . Коэффициенты k  и b   вычисляются

Слайд 188.График функции.

8.График функции.

Слайд 199.Анализ графика функции.
После построения графика необходимо еще раз просмотреть все пункты

исследования функции и проверить, соответствует ли полученный график всем пунктам.
Если наблюдается какое-то несоответствие, то необходимо повторить исследование и найти причину нестыковки графика и поведения функции.
 

9.Анализ графика функции.После построения графика необходимо еще раз просмотреть все пункты исследования функции и проверить, соответствует ли

Что такое shareslide.ru?

Это сайт презентаций, где можно хранить и обмениваться своими презентациями, докладами, проектами, шаблонами в формате PowerPoint с другими пользователями. Мы помогаем школьникам, студентам, учителям, преподавателям хранить и обмениваться учебными материалами.


Для правообладателей

Яндекс.Метрика

Обратная связь

Email: Нажмите что бы посмотреть