Презентация, доклад по математике на тему Понятие процента(6 класс, Дорофеев Г.В.,Петерсон Л.Г.)

Содержание

Понятие о проценте

Слайд 114 октября
Классная работа

14 октябряКлассная работа

Слайд 3Понятие о проценте

Понятие о проценте

Слайд 4Закрасьте 1% квадрата.
Закрасьте 10 % квадрата.

Закрасьте 1% квадрата.Закрасьте 10 % квадрата.

Слайд 5Закрасьте 25 % квадрата.
Закрасьте 39 % квадрата.

Закрасьте 25 % квадрата.Закрасьте 39 % квадрата.

Слайд 6Закрасьте 43 % квадрата.
Закрасьте 50 % квадрата.

Закрасьте 43 % квадрата.Закрасьте 50 % квадрата.

Слайд 7Закрасьте 60 % квадрата.
Закрасьте 99 % квадрата.

Закрасьте 60 % квадрата.Закрасьте 99 % квадрата.

Слайд 13ИСТОРИЯ ВОЗНИКНОВЕНИЯ ПРОЦЕНТОВ
«pro centum» (от лат.) - это «на сто».

Первые таблицы процентов были составлены ещё вавилонянами.
Индийцам проценты были известны уже в V в.
Проценты были особенно распространены в Древнем Риме. Римляне называли процентами деньги, которые платил должник заимодавцу за каждую сотню.

ИСТОРИЯ ВОЗНИКНОВЕНИЯ ПРОЦЕНТОВ«pro centum» (от лат.) - это «на сто». Первые таблицы процентов были составлены ещё вавилонянами.

Слайд 14ИСТОРИЯ ВОЗНИКНОВЕНИЯ ПРОЦЕНТОВ
В Европе проценты появились на 1000 лет позже, их

ввел бельгийский учёный
Симон Стевин.
В 1584г. он впервые опубликовал таблицу процентов.

ИСТОРИЯ ВОЗНИКНОВЕНИЯ ПРОЦЕНТОВВ Европе проценты появились на 1000 лет позже, их ввел бельгийский учёный Симон Стевин. В

Слайд 15
Символ  появился не сразу.
1 версия.
Процент от латинского слова «centum».
Сокращение "centum"

"cto".
Сначала писали слово «сто» так: сtо.
При скорописи сtо писали как "о/о", а затем – «%».
То есть буква t была заменена наклонной чертой.
Символ  появился не сразу.1 версия.Процент от латинского слова «centum».Сокращение

Слайд 16ИСТОРИЯ ПРОИСХОЖДЕНИЯ ЗНАКА ПРОЦЕНТА

2 версия.
В 1685г. в Париже была напечатана

книга, где по ошибке вместо сtо было набрано . После этого знак  получил всеобщее признание.


ИСТОРИЯ ПРОИСХОЖДЕНИЯ ЗНАКА ПРОЦЕНТА2 версия. В 1685г. в Париже была напечатана книга, где по ошибке вместо сtо

Слайд 17Как перевести проценты в дробь?
 
Чтобы количество процентов записать в виде

дроби надо это число разделить на 100

Как перевести проценты в дробь?  Чтобы количество процентов записать в виде дроби надо это число разделить на

Слайд 18Упр.313
Упр.314(а,в)

Упр.313Упр.314(а,в)

Слайд 19Как обратить дробь в проценты?

     Чтобы записать дробь в виде процентов,

надо умножить
ее на 100%.
Как обратить дробь в проценты?     Чтобы записать дробь в виде процентов, надо умножить ее на 100%.

Слайд 20Упр.315(б,г)

Упр.315(б,г)

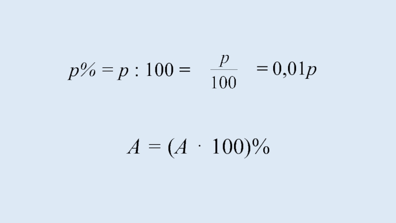
Слайд 21р% = p : 100 =
= 0,01p
А =

(А  100)%
р% = p : 100 = = 0,01p А = (А  100)%

Слайд 22Упр.315 (а,в)
Упр.314(б,г)

Упр.315 (а,в)Упр.314(б,г)

Слайд 23Д.З
Упр.338,340

Д.ЗУпр.338,340

Что такое shareslide.ru?

Это сайт презентаций, где можно хранить и обмениваться своими презентациями, докладами, проектами, шаблонами в формате PowerPoint с другими пользователями. Мы помогаем школьникам, студентам, учителям, преподавателям хранить и обмениваться учебными материалами.


Для правообладателей

Яндекс.Метрика

Обратная связь

Email: Нажмите что бы посмотреть