Презентация, доклад к выступлению на заседание МО учителей математики Как сделать презентацию к уроку. Основные ошибки

Содержание

Зачем?Визуализация«Опорный конспект»Себе и другим

Слайд 1Как сделать презентацию к уроку?

Как сделать презентацию  к уроку?

Слайд 2Зачем?
Визуализация
«Опорный конспект»
Себе и другим

Зачем?Визуализация«Опорный конспект»Себе и другим

Слайд 3
α








М
К
Р
М1
К1

αМКРМ1К1

Слайд 4Взаимное расположение прямой и плоскости.



α
а
α


а
А
α

а

Взаимное расположение прямой и плоскости.αаαаАαа

Слайд 5
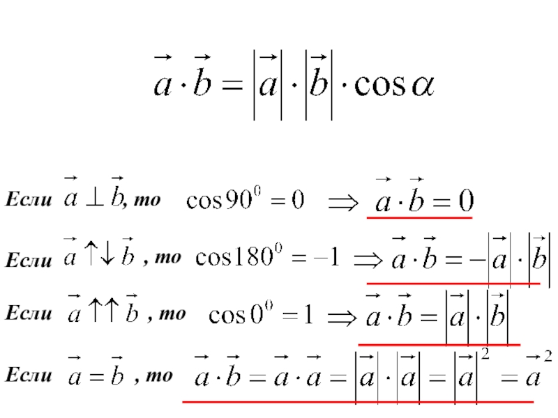
Если , то
Если

,

то

Если

, то

Если

, то

Если       , то Если, тоЕсли, тоЕсли, то

Слайд 6Наиболее распространенные ошибки при составлении презентаций

Наиболее распространенные ошибки  при составлении презентаций

Слайд 7Ошибка №1: слайдомент
Слайдомент – это бумажный документ, предназначенный для восприятия в

печатной версии, но перенесенный на слайд.
Ошибка №1: слайдомент	Слайдомент – это бумажный документ, предназначенный для восприятия в печатной версии, но перенесенный на слайд.

Слайд 8..
Точка О называется центром сферы, R-радиус сферы. Любой отрезок, соединяющий центр

и какую-нибудь точку сферы, называется радиусом сферы. Отрезок, соединяющий две точки сферы и проходящий через её центр, называется диаметром сферы.

Плоскость, имеющая со сферой только одну общую точку, называется касательной плоскостью к сфере, а их общая точка называется точкой касания плоскости и сферы. Теорема: Радиус сферы, проведённый в точку касания сферы и плоскости, перпендикулярен к касательной плоскости.

Сфера

..Точка О называется центром сферы, R-радиус сферы.  Любой отрезок, соединяющий центр и какую-нибудь точку сферы, называется

Слайд 9Ошибка №2: невнимательность, неграмотность и неряшливость

Ошибка №2:   невнимательность, неграмотность и неряшливость

Слайд 10Правильная пирамида

Правильная пирамида

Слайд 11 Применение производной

Применение производной

Слайд 12Ошибка №3: цветовая гамма

Ошибка №3:   цветовая гамма

Слайд 13 Функция определена на промежутке (–3; 7). График ее производной изображен на

рисунке.
Укажите число точек минимума функции на промежутке
(–3; 7).
Укажите количество промежутков убывания функции.
Функция определена на промежутке  (–3; 7). График ее производной изображен на рисунке. Укажите число точек минимума

Слайд 14
Функция у = f(x) определена на промежутке (– 6;  4). График ее

производной изображен на рисунке.
Укажите точку максимума функции
у = f(x) на этом промежутке.

Функция у = f(x) определена на промежутке (– 6;  4). График ее производной изображен на рисунке. Укажите точку

Слайд 15Производная и ее применение.
2. Механический смысл производной.
1. Геометрический смысл производной.
11 класс.
МОУ

СОШ 256 г.Фокино.
Производная  и ее применение.2. Механический смысл производной.1. Геометрический смысл производной.11 класс.МОУ СОШ 256  г.Фокино.

Слайд 16Ошибка №4: бессмысленные «украшательства»

Ошибка №4:   бессмысленные «украшательства»

Слайд 17Шумы в промышленности
Вредное влияние шумов на здоровье людей побудило изучению шумов,к

их классификации, к созданию определённых стандартов и эталонов
Шумы в промышленностиВредное влияние шумов на здоровье людей побудило изучению шумов,к их классификации, к созданию определённых стандартов

Слайд 18Прямоугольная система координат в пространстве.
Геометрия – 11 класс

Прямоугольная система координат в пространстве.Геометрия – 11 класс

Слайд 19Цели урока:
Ввести понятие системы координат в пространстве.
Выработать умение строить точку по

заданным координатам и находить координаты точки, изображенной в заданной системе координат.
Цели урока:Ввести понятие системы координат в пространстве.Выработать умение строить точку по заданным координатам и находить координаты точки,

Слайд 20Ошибка №5: отсутствие единообразия и жесткого макета

Ошибка №5:   отсутствие единообразия  и жесткого макета

Слайд 21Ошибка №6: нестандартные шрифты

Ошибка №6:   нестандартные шрифты

Слайд 22Тело, ограниченное цилиндрической поверхностью и двумя кругами, называется цилиндром.
Цилиндр

Тело, ограниченное цилиндрической поверхностью и двумя кругами, называется цилиндром.Цилиндр

Слайд 23Ошибка №7: информационная избыточночть слайдов

Ошибка №7:   информационная избыточночть слайдов

Слайд 24Тетраэдр 

 





Более трехсот лет отделяют нас от того момента, когда гамбургский

алхимик Геннинг Бранд открыл новый элемент – фосфор. Подобно другим алхимикам, Бранд пытался отыскать эликсир жизни или философский камень, с помощью которых старики молодеют, больные выздоравливают, а неблагородные металлы превращаются в золото. В ходе одного из опытов он выпарил мочу, смешал остаток с углем, песком и продолжил выпаривание. Вскоре образовалось вещество, светившееся в темноте.

Фосфорноватистая кислота Н3РО2
Молекула имеет форму тетраэдра с атомом фосфора в центре, в вершинах тетраэдра находятся два атома водорода, атом кислорода и гидроксогруппа.

Кристаллы белого фосфора образованы молекулами Р4 . Такая молекула имеет вид тетраэдра.

Тетраэдр   Более трехсот лет отделяют нас от того момента, когда гамбургский алхимик Геннинг Бранд открыл новый элемент

Что такое shareslide.ru?

Это сайт презентаций, где можно хранить и обмениваться своими презентациями, докладами, проектами, шаблонами в формате PowerPoint с другими пользователями. Мы помогаем школьникам, студентам, учителям, преподавателям хранить и обмениваться учебными материалами.


Для правообладателей

Яндекс.Метрика

Обратная связь

Email: Нажмите что бы посмотреть