Презентация, доклад на тему Урок- путешествие по математике +окружающий мир 4 класс

План нашей работы:1) эстафета; 2) задача № 2, стр.71 (самостоятельно); 3) задача № 4, стр.72 (у доски); 4) задача № 2, стр. 72 (устно); 5) задачи № 2, стр. 74 (самостоятельно); 6) задача № 3, стр.

Слайд 1Комбинированный урок-путешествие "математика + окружающий мир" "Воинская слава«
4 класс 777 школы
Учитель

Ивахненко Л.С.
Комбинированный урок-путешествие

Слайд 2План нашей работы:
1) эстафета; 2) задача № 2, стр.71 (самостоятельно); 3) задача №

4, стр.72 (у доски); 4) задача № 2, стр. 72 (устно); 5) задачи № 2, стр. 74 (самостоятельно); 6) задача № 3, стр. 74 (устно); 7) уравнения; 8) дроби.
План нашей работы:1) эстафета; 2) задача № 2, стр.71 (самостоятельно); 3) задача № 4, стр.72 (у доски);

Слайд 4Фельдмаршал Петр Александрович Румянцев. Первые победы русской армии в войне с

Турцией. “К началу войны с Турцией П.А. Румянцев был опытным полководцем, одержавшим немало побед, и императрица Екатерина ΙΙ сделала его главнокомандующим русскими войсками в турецкой войне.
В битве при реке Кагул 21 июля 1770 года русские войска, возглавляемые фельдмаршалом Румянцевым, который лично бросился в бой и повел полки в наступление, разгромили объединенную армию противника.
Задача № 2 стр.71, № 4 стр.72
Фельдмаршал Петр Александрович Румянцев. Первые победы русской армии в войне с Турцией. “К началу войны с Турцией

Слайд 5 “После решающего Кагульского сражения турецкие крепости на левом берегу Дуная были

завоеваны русскими войсками почти без боя”.
 “После решающего Кагульского сражения турецкие крепости на левом берегу Дуная были завоеваны русскими войсками почти без боя”.

Слайд 6 Генерал Алексей Григорьевич Орлов. Победы русского флота.
“Для полного успеха русской армии

требовалось победить не только сухопутные войска противника, но и его флот. Однако в то время у России не было своих кораблей на южных границах. И тогда к берегам Турции был направлен отряд Балтийского флота под командованием генерала А.Г. Орлова.
Летом 1770 г. Русская эскадра нанесла неприятелю сокрушительный удар в Чесменской бухте”.

Задача №2 стр.72( устно)

“В июле 1774 года Россия и Турция заключили мирный договор. Россия приобрела выход к Черному морю и право иметь здесь свой флот”.

 Генерал Алексей Григорьевич Орлов. Победы русского флота.“Для полного успеха русской армии требовалось победить не только сухопутные войска

Слайд 7Генерал Александр Васильевич Суворов. Взятие Измаила.
 “Надеясь вернуть утраченные владения, в 1787

г. султан вновь объявил войну России. Русские войска одержали в этой войне множество славных побед. На весь мир прогремело имя гениального полководца А.В. Суворова, за всю жизнь не проигравшего ни одного сражения. Для окончательного изгнания турок с северных берегов Черного моря нашим войскам нужно было взять крепость Измаил на Дунае. Построенная французскими инженерами, эта крепость считалась неприступной”.
Задача №2- стр.74, № 3



Генерал Александр Васильевич Суворов. Взятие Измаила. “Надеясь вернуть утраченные владения, в 1787 г. султан вновь объявил войну России.

Слайд 8Адмирал флота Федор Федорович Ушаков.
“Окончательный удар Турции на море нанесли корабли

молодого Черноморского флота под командованием адмирала Ф.Ф. Ушакова. На него возлагалась ответственная задача – поддерживать войска Суворова. В конце лета этого же года русская эскадра нанесла первый сокрушительный удар турецкому флоту”.
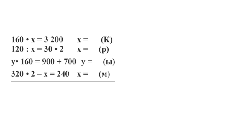
Решите уравнения и вы узнаете, как назывался полуостров, завоеванный русской армией в этой войне.

Адмирал флота Федор Федорович Ушаков.“Окончательный удар Турции на море нанесли корабли молодого Черноморского флота под командованием адмирала

Слайд 10“В 1791 году Россия и Турция подписали мирный договор. Южные границы

России были окончательно утверждены на берегах полуострова Крым”.
“В 1791 году Россия и Турция подписали мирный договор. Южные границы России были окончательно утверждены на берегах

Слайд 11В честь победы русской армии в русско-турецкой войне в Санкт-Петербурге был

установлен памятник. Вы узнаете его название, если правильно расставите дроби в порядке возрастания.

25/100 в – “ков”; 1/2 в.– “во”; 3/4 в. – “та”;
2/25 в. – “Мос”;
6/10 в. – “ро”; 3/10 в. – “ски”; 2/5 в. – “е”

В честь победы русской армии в русско-турецкой войне в Санкт-Петербурге был установлен памятник. Вы узнаете его название,

Слайд 12Московские триумфальные ворота на Кутузовском проспекте.

Московские триумфальные ворота на Кутузовском проспекте.

Слайд 13Подведение итогов урока.
Дома вы решите задачи № 4, 5 стр.73; №

1, 2 стр.74 и узнаете еще много интересного о русско-турецкой войне.

Использованные материалы: Учебник Демидовой Т.Е., Козловой С.А., Тонких А.П. “Математика” 4 класс, стр.71, уроки № 116–117.

Подведение итогов урока.Дома вы решите задачи № 4, 5 стр.73; № 1, 2 стр.74 и узнаете еще

Что такое shareslide.ru?

Это сайт презентаций, где можно хранить и обмениваться своими презентациями, докладами, проектами, шаблонами в формате PowerPoint с другими пользователями. Мы помогаем школьникам, студентам, учителям, преподавателям хранить и обмениваться учебными материалами.


Для правообладателей

Яндекс.Метрика

Обратная связь

Email: Нажмите что бы посмотреть