Презентация, доклад по математике на тему Вычитание вида 35-7

7«Назови соседа»2515871477

Слайд 1


Слайд 47
«Назови соседа»
2
5

15
8

7

14
7

7

7«Назови соседа»2515871477

Слайд 59
12
28
17
35
5
21
10
2
-7
40
33

912281735521102-74033

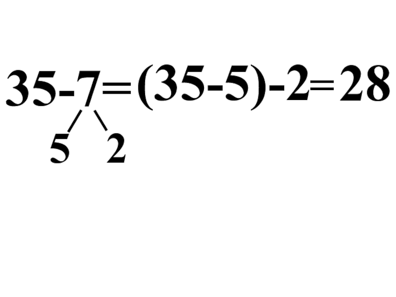
Слайд 635-7=
5
2
(35-5)
28
-2
=

35-7=52(35-5)28-2=

Слайд 7 Задача: У Кости было 22 игрушечные машины. Он подарил

4 машины Мише и Саше 2 машины. Сколько солдатиков осталось у Коли?
Задача:    У Кости было 22 игрушечные машины. Он подарил 4 машины Мише и

Слайд 8Сравни выражения
26-8 и 32-6
55-7 и 59-9
23+3 и 33-7

Сравни выражения26-8 и 32-655-7 и 59-9 23+3 и 33-7

Что такое shareslide.ru?

Это сайт презентаций, где можно хранить и обмениваться своими презентациями, докладами, проектами, шаблонами в формате PowerPoint с другими пользователями. Мы помогаем школьникам, студентам, учителям, преподавателям хранить и обмениваться учебными материалами.


Для правообладателей

Яндекс.Метрика

Обратная связь

Email: Нажмите что бы посмотреть